L-肉碱酒石酸盐

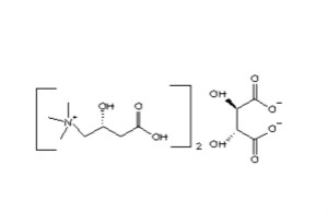
【中文名称】左旋肉碱酒石酸盐
【英文名称】L-Carnitine Tartrate
【别 名】L-肉碱酒石酸盐
【分子式/量】 C18H36N2O12 / 293.27
【CAS 号】36687-82-8
【规 格】左旋肉碱68.2±1.0%;酒石酸31.8±1.0%
【外 观】白色结晶性粉末,不易吸潮。
【来 源】左旋肉碱成盐反应得来
【工艺流程】
左旋肉碱和酒石酸→成盐反应→离心→干燥→左旋肉碱酒石酸盐
左旋肉碱酒石酸盐与左旋肉碱区别:
两者作用机理相同,左旋肉碱酒石酸盐味腥,易溶于水,不易液化,是左旋肉碱的稳定形式,其有效成分依然是左旋肉碱,其中左旋肉碱的含量在68%左右。左旋肉碱酒石酸盐因不易吸潮,广泛应用于片剂和胶囊。
左旋肉碱及左旋肉碱酒石酸盐在世界范围的应用:
欧盟:法文规定允许用于婴幼儿配方奶粉等特殊应用用途的食品中。欧盟对大部分国家如德、英、意、荷兰、芬兰、瑞典等允许左旋肉碱和左旋肉碱酒石酸盐用于普通食品。目前包括雀巢等都推出了含有左旋肉碱酒石酸盐的普通食品(包括固体饮料)在这些国家进行销售。
瑞士:允许左旋肉碱酒石酸盐添加到固体饮料食品中。
美国:1993年左旋肉碱及左旋肉碱酒石酸盐被美国国家专家评审组GRAS公认是安全无毒的。左旋肉碱和左旋肉碱酒石酸盐在美国被允许用于果味型饮料、碳酸饮料、草本茶饮料、运动饮料等包括固体饮料传统食品。
日本:左旋肉碱在2002年11月年被添加进“可用于食品的无医疗效果货效果宣称的化学物质(原料)清单”;2002年12月,左旋肉碱被允许作为食品添加剂用于各类普通食品。
从以上所列世界先进国家的法规情况可知,左旋肉碱以及左旋肉碱酒石酸盐作为营养强化剂添加进包括固体饮料的普通食品中。
国内应用:鑫玺生物左旋肉碱胶囊 左旋肉碱雀巢咖啡等。
主要应用:
左旋肉碱酒石酸盐主要用于食品添加剂中,适用于固体制剂、粉剂,尤其适用于片剂、胶囊
左旋肉碱酒石酸盐的用量(以左旋肉碱计):
乳粉(300~400mg/kg);果汁味饮料(600~3000mg/kg);乳饮料(600~3000mg/kg);固体饮料(6g~30g/kg);
上一条:二十八烷醇 下一条:β-胡萝卜素(新资源食品) 返回列表