熊果苷
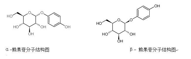
		        熊果苷(Arbutin)俗称熊果甙、熊果素,是对苯二酚的单葡萄糖式,存在于蔷薇科梨树叶中和杜鹃花科熊果植物叶中。熊果苷能抑制酪氨酸酶的活性,为植物体中生物活性较好的有效成分,因此也成为国内外各大化妆品中的主要原料之一。根据糖苷键的在空间上的不同方向,熊果苷可分为β-熊果苷和α-熊果苷,二者分子式完全一样,空间结构不同,糖苷键的方向正好相反。
		
		西安天宝α-熊果苷和β-熊果苷比对表:
| α、β熊果苷对比 | 含量(HPLC) | 工艺 | CAS号 | 稳定性 | 旋光度 | 效果 | 使用量 | 
| α-熊果苷 | 99%以上 | 微生物发酵法 | 84380-01-8 | 100℃不分解 | +174.0~+184.0° | 优于β-熊果苷10倍 | 1%~3% | 
| β-熊果苷 | 99%以上 | 合成 | 497-76-7 | 60℃少量分解生成氢醌 | -64°~-68° | 不如β-熊果苷,价格是β-熊果苷的三分之一 | 0.2%~2% | 
		 
 
		【外        观】白色晶体粉末
		【分  子  式】均为C12H16O7/272.25
		【主要应用】美白皮肤,抑制黑色素形成。
		【应用领域】化妆品面霜、乳液、面膜等。
		
		 
		 
上一条:汉防己甲素 下一条:山奈酚 返回列表